newone Posted January 30, 2009 Share Posted January 30, 2009 has anybody heard anything yet. im finding it hard to understand how it takes over a week to find out who gets 100 or so jobs Quote Link to comment Share on other sites More sharing options...
jerrymaker Posted January 30, 2009 Share Posted January 30, 2009 we all need to keep each other informed of postings trade or production. so we are all on the same sheet. alan mulauy saying on the radio that the jobs bank is over is BS. you better send something in the mail to us in JSP before you open your pie hole...(come on ron speak up).and we better hear something about these assho*** at the top taking some pay cuts or concessions. and the union, avoid confusion.... tell us (the members) what the hell is going to happen to us, pay, benefits.... these are the real issues and we want answers. this is our future and our families. KEEP US INFORMED....... Quote Link to comment Share on other sites More sharing options...
jerrymaker Posted February 1, 2009 Share Posted February 1, 2009 bump.... Quote Link to comment Share on other sites More sharing options...
rawselectrician Posted February 2, 2009 Share Posted February 2, 2009 we all need to keep each other informed of postings trade or production. so we are all on the same sheet. alan mulauy saying on the radio that the jobs bank is over is BS. you better send something in the mail to us in JSP before you open your pie hole...(come on ron speak up).and we better hear something about these assho*** at the top taking some pay cuts or concessions. and the union, avoid confusion.... tell us (the members) what the hell is going to happen to us, pay, benefits.... these are the real issues and we want answers. this is our future and our families. KEEP US INFORMED....... posting for R&E was taken down at Rawsoonville on monday before we could even bid on it. but monroe was able to bid on it. whats up with that Quote Link to comment Share on other sites More sharing options...
jerrymaker Posted February 3, 2009 Share Posted February 3, 2009 posting for R&E was taken down at Rawsoonville on monday before we could even bid on it. but monroe was able to bid on it. whats up with that what were the postings for? Quote Link to comment Share on other sites More sharing options...
rawselectrician Posted February 3, 2009 Share Posted February 3, 2009 what were the postings for? electrician Quote Link to comment Share on other sites More sharing options...
dukeofearl Posted February 5, 2009 Share Posted February 5, 2009 electrician results of the trades posting were posted totoday millwrights 1 to ford land 1 to the rouge 2 to buffalo from rawsonville but we need to know who the outher one is who is going to ford land and who the outher 5 are who are going to the rouge. seniority and plant would be good thank you. Quote Link to comment Share on other sites More sharing options...
shavdmuf Posted February 6, 2009 Share Posted February 6, 2009 Lima Engine had postings up for EL in KTP, KCAP and Ohio Assy. Also had posting for MW at Buffalo Stamping. Anyone heard if these postings were filled? 29 EL's in KTP, 18 EL's in KCAP and 6 EL's at Ohio Assy. Not sure on the MW numbers, I think it was 6? Quote Link to comment Share on other sites More sharing options...
jerrymaker Posted February 9, 2009 Share Posted February 9, 2009 Anybody else here anything about any trade posting, please let us know. Quote Link to comment Share on other sites More sharing options...
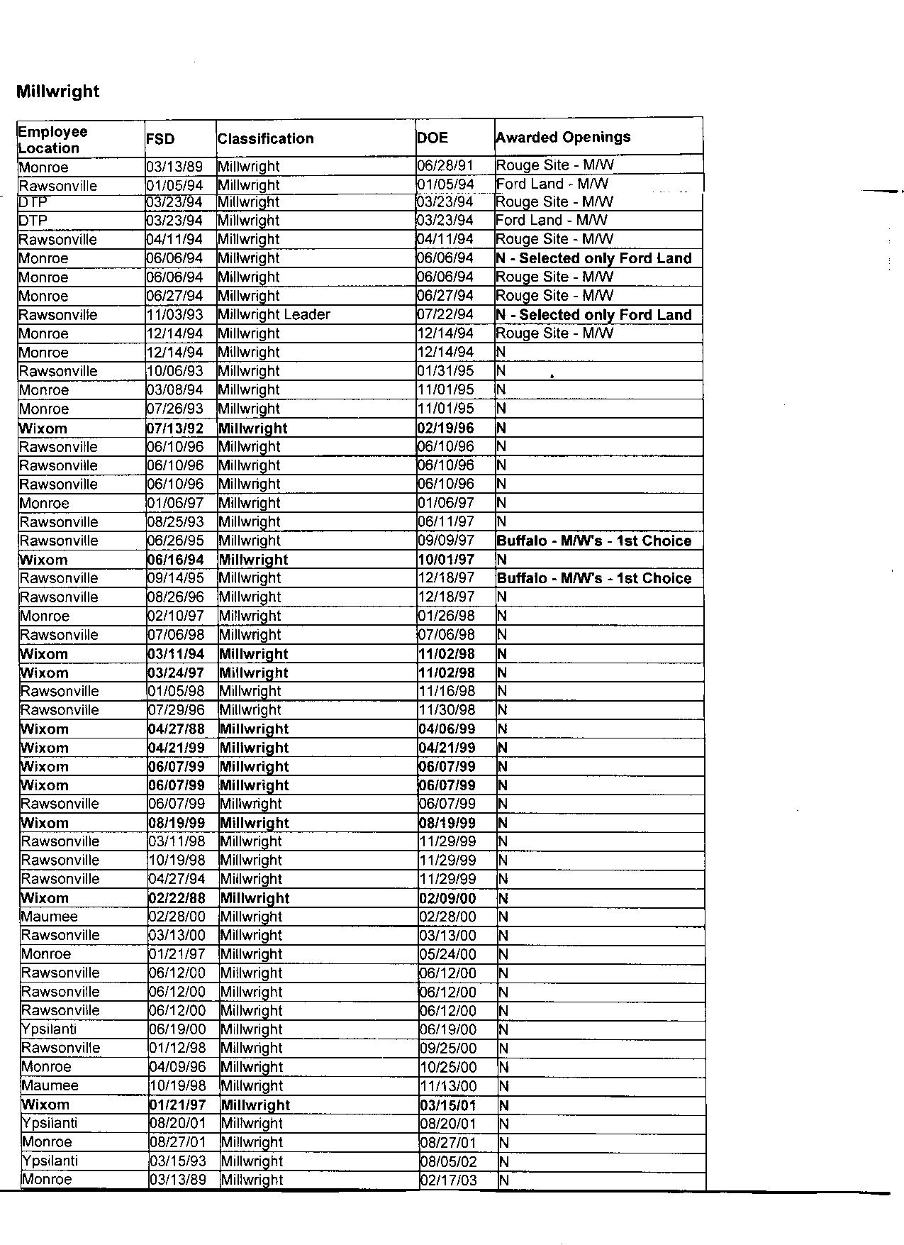
mrballsonya Posted February 10, 2009 Share Posted February 10, 2009 results of the trades posting were posted totoday millwrights 1 to ford land 1 to the rouge 2 to buffalo from rawsonville but we need to know who the outher one is who is going to ford land and who the outher 5 are who are going to the rouge. seniority and plant would be good thank you. Here are the Tentative Millwright postings as of Friday, Feb. 6th. Quote Link to comment Share on other sites More sharing options...
dukeofearl Posted February 10, 2009 Share Posted February 10, 2009 Here are the Tentative Millwright postings as of Friday, Feb. 6th. The two from DTP how did they get on the bid i heard what leval said but they had no production time there FSD and there DOE are the same. He said that they changed it in the last contract. well i think they moved well before the last contract. In the last contract if you did'nt have production time you could not go to production but they did. Don't tell me that 94 seniority was getting forced to jsp because that would be bullshit. There was a deal cut at saline to let them come to dtp and than the contract was changed but they and leval were the only 3 that new it. If not last contract why were we not informed that we could bid on production bids if we were in trades. Yes there would of been some people that would of done just that a whole lot of mr's for sure. It is my understanding that under the new contract trades can go to production only after all of production is canvassed in zone and out of zone than all trades with production time in zone and out of zone and than trades with no production time can then be moved. So how did this happen then or now. I saw that the bids did not even go to saline or milan they must not have any trades left or next bid we will see a shit load of them. Something don't seem right is it me i think not. mrballsonya thank you very much. Quote Link to comment Share on other sites More sharing options...
dukeofearl Posted February 11, 2009 Share Posted February 11, 2009 Here are the Tentative Millwright postings as of Friday, Feb. 6th. How did the dtp millwrights get the bid. Quote Link to comment Share on other sites More sharing options...
Pioneer Posted February 11, 2009 Share Posted February 11, 2009 How did the dtp millwrights get the bid. Good question. Probably another one of those "back doors" that the Union says aren't really there. Quote Link to comment Share on other sites More sharing options...
Hard Driver Posted February 11, 2009 Share Posted February 11, 2009 (edited) This is good. We need to keep one another informed. Too damned bad our union won't keep us updated without us having to go through the blue door on the east side of the building on the second Tuesday of the month when the sun casts a shadow on the Southeast side of the building! I swear if I ever find out I was passed up for a position I will be talking to a lawyer!! :whipped: Edited February 11, 2009 by Hard Driver Quote Link to comment Share on other sites More sharing options...
Pioneer Posted February 11, 2009 Share Posted February 11, 2009 I swear if I ever find out I was passed up for a position I will be talking to a lawyer!! :whipped: You probably already have. You just don't know it. Quote Link to comment Share on other sites More sharing options...
level Posted February 11, 2009 Share Posted February 11, 2009 You probably already have. You just don't know it. That a way to go Pioneer. Sow your seeds of hatred about factless supposition. You don't know shit about anything that is going on....only profess to.....you have no facts of improper job award....but you bang the drums telling others they were probably screwed and don't know it. You know very well from my response on the other thread that the DTP millwright got the job by seniority...in zone....step 2 of the hierarchy. I know you read it...but then you jump to another thread and stir up shit about it. You are a real douchebag...and I mean that from the bottom of my heart. Quote Link to comment Share on other sites More sharing options...
level Posted February 11, 2009 Share Posted February 11, 2009 The two from DTP how did they get on the bid i heard what leval said but they had no production time there FSD and there DOE are the same. He said that they changed it in the last contract. well i think they moved well before the last contract. In the last contract if you did'nt have production time you could not go to production but they did. Don't tell me that 94 seniority was getting forced to jsp because that would be bullshit. There was a deal cut at saline to let them come to dtp and than the contract was changed but they and leval were the only 3 that new it. If not last contract why were we not informed that we could bid on production bids if we were in trades. Yes there would of been some people that would of done just that a whole lot of mr's for sure. It is my understanding that under the new contract trades can go to production only after all of production is canvassed in zone and out of zone than all trades with production time in zone and out of zone and than trades with no production time can then be moved. So how did this happen then or now. I saw that the bids did not even go to saline or milan they must not have any trades left or next bid we will see a shit load of them. Something don't seem right is it me i think not. mrballsonya thank you very much. The letter allowing you to go into production with no production time was written into the contract in 1984 brother. Quote Link to comment Share on other sites More sharing options...
newone Posted February 11, 2009 Author Share Posted February 11, 2009 That a way to go Pioneer. Sow your seeds of hatred about factless supposition. You don't know shit about anything that is going on....only profess to.....you have no facts of improper job award....but you bang the drums telling others they were probably screwed and don't know it. You know very well from my response on the other thread that the DTP millwright got the job by seniority...in zone....step 2 of the hierarchy. I know you read it...but then you jump to another thread and stir up shit about it. You are a real douchebag...and I mean that from the bottom of my heart. hey level. how can a toolmaker gat a guage layout bid before an actual guage and layout person who is in gen? Quote Link to comment Share on other sites More sharing options...
newone Posted February 11, 2009 Author Share Posted February 11, 2009 The letter allowing you to go into production with no production time was written into the contract in 1984 brother. why does somebody even have to have production time to get a millwright bid?im confused on this one Quote Link to comment Share on other sites More sharing options...
level Posted February 11, 2009 Share Posted February 11, 2009 why does somebody even have to have production time to get a millwright bid?im confused on this one Quote Link to comment Share on other sites More sharing options...
Pioneer Posted February 11, 2009 Share Posted February 11, 2009 Wow. It's a good thing somebody quoted level. Since he is on my ignore list I would have never seen him attack me, the only thing he is good at. And, to respond Mr. level, yes. You are correct. I don't really know anything. That is because our Union tells us nothing. Absolutely nothing. The membership is treated like mushrooms. Seems the guys at the top like it that way, and the only logical reason, is because they don't want us knowing what is going on. Seems to me that if you have something to hide, it's easy to cover it up without accountability and free flowing information. Quote Link to comment Share on other sites More sharing options...
level Posted February 11, 2009 Share Posted February 11, 2009 hey level. how can a toolmaker gat a guage layout bid before an actual guage and layout person who is in gen? Well, I will have to give a brief history to explain. @ 1993 the Tooling and Layout Inspector - New went away. Those were production employees who worked in the trade 8 years and became Inspectors. Basically 8 years on the job and boom, you get back dated 8 years. Like an 8 year apprenticeship deal. Anyway...gone. After 1993 you had to come from a basic metal trade to fill an opening, Toolmaker, Diemaker, etc... It became a promotional bid job, and you were henceforth allowed to carry seniority in Tooling and Layout....while retaining seniority in your base metal trade concurrently. Sometimes, a promotional bid went up that did not get filled from either 1. not enough bidders, or 2. No one wanted it for one reason or another So the Company had the opportunity....if no one was in GEN at the time, including metal trades...to go to the street. Some plants hired CMM guys from the outside...with no basic metal trade.....because they didn't have to train them on the equipment probably???? Some plants hired outside metal tradesmen, machinist, etc. and put them directly in the trade. The problem with this is that these tradespeople were placed into a "promotional" bid job....without having a base trade date established at the company. Under normal circumstances, these tradesmen would go back to base trade when reduced from a promotional job and exercise their dual seniority in their base, and subsequently....one of the low seniority base trades would go into JSP or GEN. Since this is a promotional bid job....with a requirement by contract that all future openings be filled by graduates or apprentices from the metal trades....all plants post internal bids prior to any outside bidding, and then backfill the trade that accept the job. the process goes like this: 1. the plants post the job opening at their location first - (promotional bid) - if no takers (or not enough) 2. they post into the JSP by the placement hierarchy for Inspector tooling and layout - if no takers or no forces- 3. they post into the JSP for Tool & Diemakers and/or Toolmaker/Template Makers for opportunity- and could force if no takers. The answer to your question is by doing #1 above, the Gage maker would be #2...after promotional/internal bid. Quote Link to comment Share on other sites More sharing options...
level Posted February 11, 2009 Share Posted February 11, 2009 Wow. It's a good thing somebody quoted level. Since he is on my ignore list I would have never seen him attack me, the only thing he is good at. And, to respond Mr. level, yes. You are correct. I don't really know anything. That is because our Union tells us nothing. Absolutely nothing. The membership is treated like mushrooms. Seems the guys at the top like it that way, and the only logical reason, is because they don't want us knowing what is going on. Seems to me that if you have something to hide, it's easy to cover it up without accountability and free flowing information. Maybe they should come to NEAPCO so they could fill you in on what they are doing while you work for the Chinese AHHHSOOOO. And make sure you don't respond if you are ignoring me. Quote Link to comment Share on other sites More sharing options...
Pioneer Posted February 11, 2009 Share Posted February 11, 2009 La la la. I can't hear you! Quote Link to comment Share on other sites More sharing options...
Pioneer Posted February 11, 2009 Share Posted February 11, 2009 On another note, heard DTP put up more bids for Electrician. Seems they didn't get enough with the last round, and want 11 more. Quote Link to comment Share on other sites More sharing options...
Recommended Posts
Join the conversation
You can post now and register later. If you have an account, sign in now to post with your account.
Note: Your post will require moderator approval before it will be visible.